“En esta publicación encontrará una guía estratégica y herramientas editables para gestionar la transición a ISO 9001:2026 como un proyecto bien planificado, sistémico y sin estrés. Su empresa estará lista para avanzar, sin importar su tamaño”
Oferta limitada: actualizaciones sin costo hasta oct. 2026. Solo para los primeros 100 clientes.
Si usted es Responsable de Calidad, Gerente o Consultor ISO 9001, sabe que la nueva edición de la norma ya está en marcha. Hoy existe un borrador ISO/DIS 9001:2025 y pronto llegará el FDIS (Borrador Final). La incertidumbre crece en muchas organizaciones. Las preguntas son sencillas:
- ¿Son cambios evolutivos o drásticos?
- ¿Qué acciones sí podemos hacer desde hoy para preparar una transición eficaz sin afectar la integridad de nuestro SGC ISO 9001:2015?
- ¿Invertimos esfuerzos hoy en acciones que podría quedar obsoletas en seis meses?
- ¿O nos arriesgamos a una transición caótica, reactiva y de última hora?
He visto esta situación antes. Reaccionar tarde es costoso y estresante. Pero actuar demasiado pronto, y con la información incorrecta, es un desperdicio de recursos.
Miles de organizaciones enfrentarán en poco tiempo auditorías con nuevos criterios. Quien no se prepare a tiempo asumirá más costos, más estrés y un riesgo innecesario sobre su certificación.

La clave está en un plan inteligente y práctico que asegure una transición eficaz. No se trata solo de “actualizar documentos”. Se trata de proteger la integridad de su SGC mientras genera una ventaja competitiva real. La transición puede convertirse en la oportunidad perfecta para fortalecer cultura, gestión de riesgos, gobernanza, ética, enfoque sistémico y desempeño.
Si necesita un plan claro y progresivo que proteja su sistema actual y aporte una ventaja estratégica, aquí lo tiene.
Con base en ISO 21502 (gestión de proyectos) y un enfoque sistémico (TGS) probado, desarrollé el recurso definitivo:
«EL PLAN SISTÉMICO DE TRANSICIÓN ISO 9001:2015 → ISO 9001:2026»
El objetivo principal de este e-book es proporcionar a Responsables de Calidad, Gerentes Generales y Consultores una hoja de ruta detallada y práctica para convertir la transición de una amenaza burocrática en una poderosa oportunidad de mejora integral.
«Además, acceda a un KIT COMPLETO DE HERRAMIENTAS en formatos MS Office para comenzar a trabajar desde el primer día. Todo lo que necesita para planificar, ejecutar y controlar cada fase del plan de inmediato.»
¿Qué he preparado para usted en este Paquete Digital (E-book + Herramientas)?
Esta no es solo una guía teórica; es un paquete de transición completo.
El Libro Electrónico (PDF de +50 páginas) está estructurado en 15 secciones clave:
- Introducción y Principios Rectores: El «por qué» y el «cómo» del plan.
- Enfoque Sistémico: Cómo ver la transición como un todo y no como partes aisladas.
- Principales Cambios Anticipados (ISO/DIS): Un análisis claro de los cambios clave (Contexto, Cambio Climático, Cultura, Ética, Riesgos vs. Oportunidades).
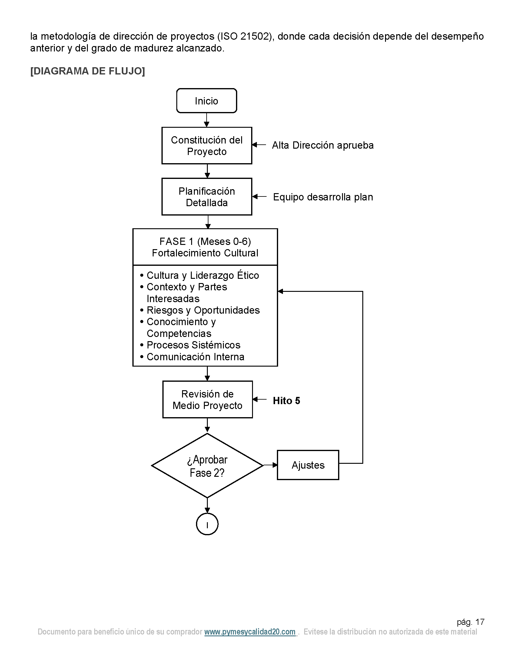
- Estructura Temporal (Las 2 Fases): La estrategia clave de 12 meses (Fase 1: Fortalecimiento Cultural y Fase 2: Adaptación Técnica).
- Gestión de Proyecto (ISO 21502): Cómo aplicar la gestión de proyectos para asegurar el éxito, los costos y los plazos.
- Plan de Acción Detallado (FASE 1): Actividades, objetivos y entregables de los primeros 6 meses (Cultura, Ética, Conocimiento, Riesgos).
- Plan de Acción Detallado (FASE 2): Actividades, objetivos y entregables de los segundos 6 meses (Gap Analysis FDIS, cierre de brechas, auditorías).
- Hitos Críticos del Plan: Los 11 hitos de control para mantener el proyecto en curso.
- Indicadores de Seguimiento: Qué medir para asegurar que el plan avanza (KPIs del proyecto).
- Gobernanza y Roles: La guía definitiva para definir el «quién es quién» (Comité, Alta Dirección, Líderes de Proceso).
- Adaptabilidad por Tamaño: La sección clave que explica cómo escalar el plan si usted es una Pequeña, Mediana o Gran Empresa.
- Gestión de Riesgos del Proyecto: La matriz de riesgos del proyecto (qué puede salir mal y cómo mitigarlo).
- Productos Finales: La lista de entregables que tendrá al mes 12.
- Principio de Ejecución: Claves que garantizan una ejecución eficaz.
- Aspectos críticos para una transición exitosa: Elementos puntuales.
- Conclusión del plan.
[Clic en la imagen para visualizar parte de su contenido]
¡Y eso no es todo!, También incluye el Kit de Herramientas de Transición (MS Office Editables):
Además del E-book, recibirá 15 herramientas 100% editables que aplican directamente los conceptos del libro:
- Herramienta 1: Resumen comparativo ISO 9001 2015 & ISODIS 9001 2025: Una lista detallada por cláusulas para identificar las diferencias (Fase 1)
- Herramienta 2: Constitución del Comité de Transición: Una base de personas que integrarán el equipo de trabajo, autoridades, funcionamiento, responsabilidades, criterios de éxito.
- Herramienta 3: Minuta de reunión – Comité de Transición ISO 9001:2026: Organización y control de las reuniones, asistencia, agenda y desarrollo, indicadores clave, registro de decisiones, acuerdos y compromisos.
- Herramienta 4: Acta constitución del proyecto de transición: Especifica las características y limites del proyecto de transición. Justificación, objetivos, alcance, estructura, partes interesadas, entregables, criterios de éxito.
- Herramienta 5: Matriz de Roles y Responsabilidades del Proyecto de Transición: Define roles, responsabilidades y nivel de participación de cada miembro del equipo, modelo RACI
- Herramienta 6: Matriz de Riesgos del Proyecto de Transición: Para gestionar los riesgos de su plan (Sección 11 del libro).
- Herramienta 7: Plan de comunicación: Establecer cómo, cuándo, a quién y por qué medio se comunicará la información relevante del Proyecto de Transición ISO 9001:2026
- Herramienta 8: Cronograma de fases e hitos del proyecto de transición: Visualizar la secuencia temporal, duración, dependencias y puntos de control críticos de todas las actividades.
- Herramienta 9: Registro de avance del proyecto de transición ISO 90012026 (trimestral): Documentar y comunicar el avance trimestral, informando logros, estado actual, desviaciones, riesgos y planes de acción.
- Herramienta 10: Lista de Verificación de Hitos de la Fase 1 del Proyecto de Transición: Verificar la implementación y eficacia de los hitos en la Fase 1 – Fortalecimiento y Sensibilización (0–6 meses) asegurando que la organización está preparada para iniciar la Fase 2
- Herramienta 11: Informe de Cierre del Proyecto y Lecciones Aprendidas: Documentar los resultados finales, el desempeño y, lo más importante, las lecciones aprendidas durante la ejecución del proyecto de transición.
- Herramienta 12: Guía de Diseño para la Presentación Kick-Off ISO 90012015 – 2026
- Herramienta 13: Kick-Off Plan Sistémico de Transición ISO 9001. Power Point.
- Herramienta 14: Autoevaluación Estado de la Cultura de la Calidad ISO 10010 2022 (Cuestionario)
- Herramienta 15: Formato Tríptico de Código de Calidad y Ética ISO 10001 2018 (Tríptico)
Oferta limitada: actualizaciones sin costo hasta oct. 2026. Solo para los primeros 100 clientes.
¿Por qué invertir en este Paquete Completo?
La adquisición de este paquete ofrece beneficios directos e inmediatos:
- Ahorrar cientos de horas en investigación, planificación y diseño de documentos.
- Evitar el error más costoso: Realizar un Análisis de Brechas con el DIS (borrador inicial) y tener que repetirlo todo 6 meses después con el FDIS (borrador final).
- Garantizar que su SGC actual MANTENGA su conformidad y se fortalezca durante el proceso.
- Liderar la transición como un proyecto profesional basado en la norma ISO 21502, demostrando control y estrategia.
- Adaptar el plan perfectamente a su realidad, ya sea una microempresa de 5 personas o una corporación de 500.
- Obtener todos los formatos editables que necesita para empezar la transición mañana mismo.
- Actualizaciones gratuitas de eBook y sus herramientas de aquí a Octubre del 2026 ¡Sin Costo!
«EL PLAN SISTÉMICO DE TRANSICIÓN ISO 9001:2015 → ISO 9001:2026» es la inversión más inteligente que puede hacer este año para su SGC.
Por solo $14.90 USD, (menos de lo que cuesta una hora de consultoría externa), obtendrá la estrategia completa, el E-book detallado y todo el Kit de Herramientas editables.
Es una inversión menor a lo que cuesta una sola hora de consultoría externa, y le dará el control total del proyecto de transición más importante de los próximos años.
¡Descargue el E-book y el Kit de Herramientas ahora mismo por solo $14.90 USD!
Oferta limitada: actualizaciones sin costo hasta oct. 2026. Solo para los primeros 100 clientes.
En resumen, la transición a ISO 9001:2026 es inevitable. La diferencia está en gestionarla reactivamente (con prisas, estrés y doble trabajo) o liderarla estratégicamente (con control, calma y mejora continua).
Este paquete le da el control.
¿Qué está esperando? ¡Mantenga su ventaja competitiva y domine la nueva norma!

























